Campbell Neurosciences, inc.
Committed to establishing a biological basis for diagnosis and treatment of suicide and its causes, including Schizophrenia and other mental health disorders, thereby eliminating the stigma of the disease.
Suicide: A Sad State of Affairs
- Suicide is the second largest killer of young people, the 10th cause of death for all age groups
- Worldwide, one suicide occurs every 40 seconds globally
- Current interventions are just “band-aids”
- 30% increase in suicide in the last 20 years
- Psychiatry is the only discipline of medicine that does not have a biological basis
- Stigma has prevented significant research
The Immune System is Part of the Brain
- The nervous and immune systems are interconnected
- Many studies show that the brain controls immune function
- The Pavlov study is an example of how the brain can be taught to control immune function
- If specific nerves from the brain are severed, the immune function increases or decreases depending on the nerve
- All major immune organs are innervated
- It is impractical to access the brain to quantitatively assess suicidal thoughts
- The Campbell Score is based on using immune markers to understand what is going on in the brain
Evidence that Immune System Can Cause Suicide
- Interferon alpha is an immune stimulant used for leukemia and hepatitis C
- Interferon alpha activates IL-6 and microglia
- Chronic activation of microglia causes brain damage
- Microglia enzyme indolamine 2,3 deoxygenase reduces tryptophan and generates kynurenine, which is a depressive molecule
- Associations between interferon administration and suicide
- Associations between numerous other cancer immunotherapies and suicide
Interleukin 6 as a Marker of Suicidal Ideations
- Up-regulated in plasma of patients suffering from causes of suicide
- MDD, Schizophrenia, PTSD
- Up-regulated in plasma of suicidal patients
- Found in brain biopsy of suicide victims
- Can be altered based on successful therapy
- Can be altered by anti-inflammatory drugs or psychotherapy
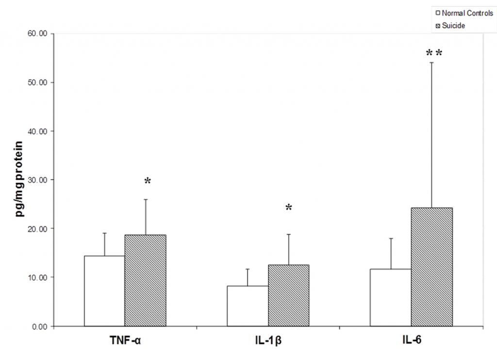
Patients who Commit Suicide have Higher Levels of Inflammatory Cytokines

Elevation of IL-6 in MDD Patients
Findings:
In this graph, blood was taken from healthy controls (HC) and patients with Major Depressive Disorder (MDD). Levels of IL-6 were measured. On average patients with depression had more IL-6
https://www.ncbi.nlm.nih.gov/pmc/articles/PMC6414189/

Elevation of IL-6 in PTSD
Findings:
Blood was taken from healthy controls and PTSD patients. IL-6 was measured in unstimulated and stimulated (LPS) blood. IL-6 was higher in PTSD patients regardless of stimulation.
https://bmcpsychiatry.biomedcentral.com/articles/10.1186/1471-244X-13-40/figures/1

Elevation of IL-6 in Schizophrenia
Findings:
Blood was taken from patients with schizophrenia before and after treatment with mood stabilizing drugs and after as well from healthy controls. IL-6 was highest before treatment and was significantly reduced after treatment. Healthy controls had the lowest IL-6.
https://www.researchgate.net/figure/Serum-concentrations-of-IL-1b-IL-6-and-TNF-a-in-schizophrenia-patients-after-treatment_fig1_333968438
